[身边事] 大丰区企事业单位公务用车制度改革“取消车辆” 拍卖公告

[复制链接]
查看: 24581|回复: 1

489

主题

109

回帖

1697

积分

金牌会员

积分
1697
发表于 2018-8-23 09:15:13 | 显示全部楼层 |阅读模式 来自 江苏盐城
微信图片_20180823082255.jpg

  • 【关注】盐城市大丰区企事业单位公务用车制度改革“取消车辆” 拍卖公告
    • 公车改革一直备受关注、公车本为保障公务活动的正常、高效运行,但公车私用、车辆超配等顽疾,不仅滋生严重的社会问题也带来了沉重的财政负担。启动公车改革,旨在从制度层面解决这一痼疾。
    • 不少市民朋友可能已经注意到,在大丰奥体中心场馆前,多辆已标注好信息的公车整齐地停放着,静静等待即将被拍卖的安排。
    • 受委托,盐城市天圣拍卖有限公司于2018年8月26日上午9时在大丰区奥体中心举行大丰区企事业单位公车改革“取消车辆”第三批次车辆专场拍卖会。有关事项公告如下:

        一、拍卖标的概况:

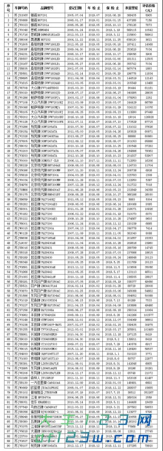
        本次拍卖标的包含大众、别克、本田、北京现代、起亚等品牌系列车90辆(详见明细表)

    • 微信图片_20180823091205.jpg

    • 二、车辆展示时间及地点:

        2018年8月15日至8月24日在大丰区奥体中心

      三、竞买人手续办理:

        1、凡符合国家法律、法规规定的自然人、法人或其他组织均可报名参加竞买。个人提供本人有效身份证,企业提供加盖公章的营业执照副本复印件、法人身份证复印件,如有委托他人参加竞买的提供授权委托书及代理人有效身份证明。

        2、报名时间及地点:2018年8月15日至8月24日17时前在大丰区龙腾一品佳苑1幢401室办理报名登记手续,领取相关拍卖资料(报名资料费300元/份)。

        3、竞买人须缴纳每辆一万元人民币的竞买保证金,保证金直接汇至盐城市天圣拍卖有限公司账户,账号:470264238935,开户行:中国银行股份有限公司大丰支行营业部。

        四、联系电话:

        15251084840(管主任)

        18921823727(单经理)

        15961958209(葛经理)

        盐城市天圣拍卖有限公司

      2018年8月21日




回复

使用道具 举报

325

主题

143

回帖

1265

积分

金牌会员

积分
1265
发表于 2018-8-23 09:16:48 | 显示全部楼层 来自 江苏盐城
想买车子,赶紧去吧
回复

使用道具 举报

您需要登录后才可以回帖 登录 | 立即注册

本版积分规则

返回顶部 关注微信 返回列表